卷积
卷积: 输入两个不同的分布,输出的新分布,描述的是那两个随机变量的总和。===>可以结合两个不同的函数,然后得到一个新的函数
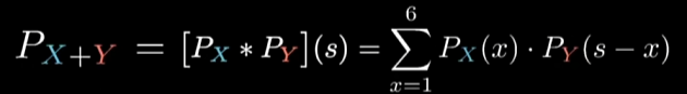
离散
下面展示的是离散的情况
这里我们把另外一个骰子反转,这样他们的和就是一个定值===>翻转(卷)相乘(积)相加(个人理解)



连续



g(y)===>g(s-x) ===>y用x表示
g(-x) ===>相当于把g函数翻转(卷)(和前面将骰子翻转感觉类似)







随机变量越来越多===>越来越光滑
不断卷积,反复光滑化


随着随机变量逐渐增多,所有函数最终被吸引到那个不动点===>极限中心定理








想要沿着其中一个切片将所有的概率密度累计起来就可以看作曲面的切片曲线下方的面积

离散的感觉也是求一个斜对角的和





